信息来源:本站 发布日期:2024-09-21
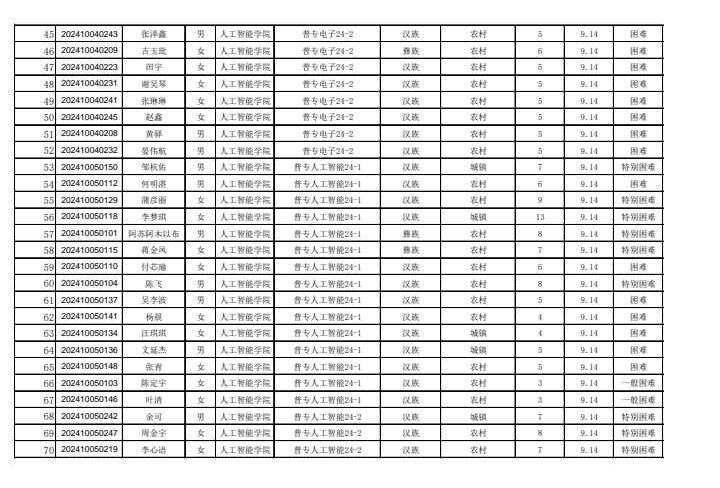
公示 据《乐山职业技术学院关于做好2024-2025学年家庭经济困难学生认定工作的通知》(乐职学通(2024)32号)规定,经学生申请、班级民主评议和二级学院审核,现将人工智能学院学生家庭经济困难认定情况予以公示(学生名单见附件): 现予以公示,公示时间为2024年9月18日﹣-2024年9月20日。如有异议请向人工智能学院学工办反映。 人工智能学院学工办电话:0833-2274252 编辑:晏小雯 一审:朱玲玉 二审:张素芬 三审:王明清
编辑:晏小雯
一审:朱玲玉
二审:张素芬
三审:王明清
上一条: 人工智能学院开展劳模进校园活动
下一条: 人工智能学院领导带队赴乐山沙湾开展校企合作调研活动